Chemteacher

SBTL, swim, chem, baseball, I talk with my hands

CP29 – Buret Fun

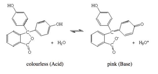
phenolphthalein

Date

  • Friday, March 23rd

Lab Day Notes

  • waste beaker
  • distilled water
  • refilling the burets
  • what to do if spilling
  • overshooting the end point
  • known concentration HCl = 0.125 M
  • apron sizes
  • goggle location

Share Data

  • Lab Calculations in LNB
  • Share Data on Spreadsheet [LINK]

Homework

  • calculations in LNB
  • be sure and show work for each trial
  • this is NOT a lab report – show as if homework

Information

This entry was posted on 2018-03-23 by in CP1718 and tagged , , , , .

Categories